DDPM: Denoising Diffusion Probabilistic Models
DDPM: Denoising Diffusion Probabilistic Models
2023년 게시글 - 수정 필요
Diffusion Probabilistic Models
- data에 임의의 noise를 더해주는 forward process와 noise를 제거하는 reverse process를 학습하는 모델
- forward process (diffusion process): data에 noise를 추가하는 과정으로, markov chain을 통해 점진적으로 noise를 더해나간다.
- reverse process: gaussian noise에서 시작하여 점진적으로 noise를 제거해가는 과정
Prerequisite
What is ‘Diffusion’?
특정한 데이터의 패턴이 서서히 반복적인 과정을 거쳐 와해되는 과정(농도가 균일해지는)을 ‘Diffusion process’라 명명
비지도학습 방법론으로 활용되고 있음
Markov Chain
: Markov 성질을 갖는 이산확률과정
- Markov 성질: “특정 상태의 확률(t+1)은 오직 현재(t)의 상태에 의존한다”
- 이산확률과정: 이산적인 시간(0초, 1초, 2초, ..) 속에서의 확률적 현상
ex. “내일의 날씨는 오늘의 날씨만 보고 알 수 있다.” (내일의 날씨는 오로지 오늘의 날씨 만을 조건부로 하는 확률적 과정)
Latent Variable Model
: 잠재 변수 모델
관찰 가능한 데이터에서 직접 측정할 수 없는 ‘잠재 변수’를 이용해 모델을 구성하는 방식이다. 잠재 변수는 직접 관찰되지 않지만 관찰 가능한 데이터의 분포를 설명하는 데 중요한 역할을 하는 변수이다. 예를 들어, 사용자의 구매 패턴에서 각각의 구매 이벤트는 관찰 가능하지만, 사용자의 숨겨진 구매 선호도는 직접적으로 관찰할 수 없는 잠재 변수가 될 수 있다.
잠재 변수 모델은 관찰 데이터의 분포를 효과적으로 설명하고 복잡한 패턴을 파악하는 데 널리 사용된다. 잠재 변수를 사용하면 데이터의 차원을 줄일 수 있다(차원 축소된 데이터가 input이 된다).
DDPM의 forward process에서는 천 번의 iteration을 거쳐 noise를 더하는데, 이때 그 많은 과정을 하나하나 관측하지 않는다는(못 할수도 있음) 의미에서 그 변수를 모두 잠재 변수라고 하는 것이다.
직접적인 접근을 하지 않는 근사 문제이다.
KL Divergence
: 두 확률 분포 P, Q가 얼마나 다른지 측정하는 방법
P는 사후, Q는 사전 분포를 의미한다.
원본 데이터 확률 분포와 근사 분포와의 로그 차이 값의 기대값을 구하고자 한다. \[D_{\mathrm{KL}}(P \| Q)=\sum_{x \in \mathcal{X}} P(x) \log \left(\frac{P(x)}{Q(x)}\right)\]
Overview of Generative Models

- 반복적인 변화(iterative transformation)를 활용한다는 점에서 Flow-based models와 유사
- 분포에 대한 변분적 추론을 통한 학습을 진행한다는 점은 VAE와 유사
- VAE는 encoding하는 network와 latent code를 바탕으로 이미지를 decoding network 모두를 학습하는 반면,
- Diffusion 모델은 이미지를 encoding하는 forward process는 fix된 채 이미지를 decoding하는 reverse process - single network만을 학습한다.
- 최근에는 Diffusion 모델의 학습에 Adversarial training을 활용하기도 함
Forward Process (Diffusion Process)

- markov chain으로 data에 점전적으로 noise를 추가하는 과정이다.
Forward Process Equation
- Gaussian Distribution(\(\mathcal{N}\))에서 나온 noise를 data에 더해준다.
- \(q\left(\mathbf{x}_{1: T} \mid \mathbf{x}_0\right)\) 수식을 보면, 우도(likelihood)의 형태를 보이고 있다.
- β는 diffusion rate(variance schedule)로 분산이 divergence하는 것을 방지해준다.
- 하지만 위의 β를 이용해서 수식을 전개하면 0~T의 모든 수식을 step by step으로 전개해야 하여 메모리 소모가 크고 시간도 오래 걸린다.
- 이를 해소하기 위해 α를 이용한다.
- \(X_t\)는 Gaussian Distribution에서 나오는 값이기 때문에 평균을 기준으로 어느 정도 분산으로 치우친 값을 가질 것이다.
- α를 이용하여 한 번에 전개가 가능하다.
T steps of diffusion
\(q\left(\mathbf{x}^{(0 \cdots T)}\right)=q\left(\mathbf{x}^{(0)}\right) \prod_{t=1}^T q\left(\mathbf{x}^{(t)} \mid \mathbf{x}^{(t-1)}\right)\)
Reverse Process (Denoising Process)
Diffusion process의 역 과정을 학습한다.
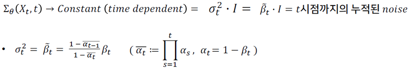
Gaussian noise를 제거해가며 특정한 패턴을 만들어가는 과정이다. \[p_\theta\left(X_{0: T}\right):=p\left(X_T\right) \prod_{t=1}^T q\left(X_{t-1} \mid X_t\right), \quad p_\theta\left(X_{t-1} \mid X_t\right):=N\left(X_{t-1} ; {\left.\mu_\theta\left(X_t, t\right), \Sigma_\theta\left(X_t, t\right)\right)}\right.\]
mean&variance를 잘 approximate할 수 있도록 학습하는 것이 목표이다.
학습 대상은 \(\mu_\theta\left(X_t, t\right)\), \(\Sigma_\theta\left(X_t, t\right)\)이다.
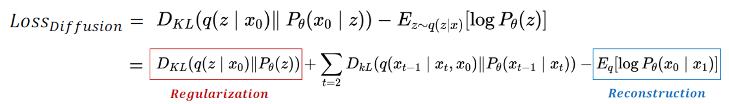
\(\begin{aligned} \operatorname{Loss}_{\text {diffusion}} & :=D_{K L}\left(q\left(z \mid x_0\right) \| P_\theta(z)\right)+\sum_{t=2} D_{k L}\left(q\left(x_{t-1} \mid x_t, x_0\right) \| P_\theta\left(x_{t-1} \mid x_t\right)\right)-E_q\left[\log P_\theta\left(x_0 \mid x_1\right)\right] \\ & :=\text {Negative log likelihood }\left(=\mathbb{E}_{x_T \sim q\left(x_T \mid x_0\right)}\left[-\log p_\theta\left(x_0\right)\right]\right) \end{aligned}\)
Diffusion(not DDPM)의 Loss는 log likelihood를 maximize시켜야 한다.
VAE
\[\operatorname{Loss}_{V A E}=D_{K L}\left(q(z \mid x) \| p_\theta(z)\right)-E_{z \sim q(z \mid x)}\left[\log P_\theta(x \mid z)\right]\]
Diffusion
Regularization과 Reconstruction의 구조는 동일하게 가지고 있다. Diffusion은 Denoising Process를 가지고 있다는 것이 차이점이다.
Denoising Process에서 KL Divergence가 이용되고 있다. P라는 reverse process는 q라는 reverse process를 최대한 approximate할 수 있도록 학습하는 것이 보여진다.
+) \(P_θ\)가 U-net의 output
DDPM
1. 학습 목적식에서 Regularization term 제외(\(L_T\))
굳이 학습시키지 않아도 fixed noise scheduling으로 필요한 ‘isotropic gaussian’(등방성; 방향과 상관없음) 획득 가능하기 때문이다.
\[L_T = D_{KL}(q(x_T|x_0)||p(x_T))\]
p가 generate하는 noise \(x_T\)와 q가 \(x_0\)라는 데이터가 주어졌을 때 generate하는 noise \(x_T\)간의 분포 차이
이 term은 원래 VAE에서 posterior가 prior(가우시안 분포)를 따르도록 강제하는 loss이다. DDPM에서 forward process는 \(x_T\)를 항상 가우시안 노이즈로 가정하기 때문에 \(L_T\)는 항상 0에 가까운 상수가 된다.
(둘 사이의 KL divergence를 구하는 의미가 없다) ⇒ 학습과정에서 무시
2. Denoising Process의 목적식 재구성
1) 분산의 상수화

원래 mean & variance를 학습했다면, 이제는 mean만 학습해도 된다.
2) Denoising matching
Diffusion process와 Denoising process의 noise를 하나의 식으로 합친다.
결국 DDPM model(\(Ⲉ_θ\))이 학습해야 하는 것은 주어진 t시점의 noise()뿐이다.
이처럼 각 시점의 다양한 scale의 gaussian noise를 예측해, denoising에 활용하고자 하는 것이 DDPM의 지향점이다.
Loss Function 유도
\(L_{t-1}=\sum_{t>1}D_{KL}(q(x_{t-1}|x_t, x_0)||p_θ(x_{t-1}|x_t))\)
p와 q의 reverse/forward process의 분포 차이. 이들을 최대한 비슷한 방향으로 학습한다.
\(q(x_{t-1}|x_t, x_0)\) \(p_θ(x_{t-1}|x_t)\) 모두 가우시안(정규 분포)이기 때문에, KL divergence를 가우시안 분포 간의 KL divergence로 다시 나타낼 수 있다. \[\mathbb{E}[\frac{1}{2\sigma^2_t}||\tilde{\mu_t}(x_t, x_0)-\mu_θ(x_t, t)||^2]+C\]
Recall: \(x_t=\sqrt{\bar{\alpha_t}}x_0+\sqrt{(1-\bar{\alpha_t})}\epsilon\)
Ho et al. NeurIPS 2020 observes that: \(\tilde{\mu_t}(x_t, x_0) = \frac{1}{\sqrt{1-\beta_t}}(x_t-\frac{\beta_t}{\sqrt{1-\bar{\alpha_t}}})\epsilon\)
They propose to represent the mean of the denoising model using a noise-prediction network:
우리가 알고 싶어하는 가우시안의 평균을 다음과 같이 모델링할 수 있다.
다른 값은 모두 동일하고, \(\epsilon_θ(x_t, t)\)이라는 noise prediction network를 통해 평균을 예측할 수 있게 된다. \[\mu_θ(x_t, t) = \frac{1}{\sqrt{1-\beta_t}}(x_t-\frac{\beta_t}{\sqrt{1-\bar{\alpha_t}}})\epsilon_θ(x_t, t)\]
With this parameterization, \(L_{t-1}=\mathbb{E}_{\mathbf{x}_0 \sim q\left(\mathbf{x}_0\right), \epsilon \sim \mathcal{N}(\mathbf{0}, \mathbf{I})}[\frac{\beta_t^2}{2 \sigma_t^2\left(1-\beta_t\right)\left(1-\bar{\alpha}_t\right)}\|\epsilon-\epsilon_\theta(\underbrace{\sqrt{\bar{\alpha}_t} \mathbf{x}_0+\sqrt{1-\bar{\alpha}_t}}_{\mathbf{X}_t} \epsilon, t)\|^2]+C\)
라는 최종 loss가 나온다. \[L_{t-1}=\mathbb{E}_{\mathbf{x}_0 \sim q\left(\mathbf{x}_0\right), \epsilon \sim \mathcal{N}(\mathbf{0}, \mathbf{I})}[\underbrace{\frac{\beta_t^2}{2 \sigma_t^2\left(1-\beta_t\right)\left(1-\bar{\alpha}_t\right)}}_{\lambda_t}\left\|\epsilon-\epsilon_\theta\left(\sqrt{\bar{\alpha}_t} \mathbf{x}_0+\sqrt{1-\bar{\alpha}_t} \epsilon, t\right)\right\|^2]\]
DDPM 논문에서는 \(\lambda_t=1\) 로 설정해 주는 것이 학습이 잘 된다고 주장한다. (다르게 설정해보자는 다른 논문의 주장도 존재)
따라서 DDPM에서 사용되는 최종 loss는 다음과 같고, \[L_{\text {simple }}(\theta):=\mathbb{E}_{t, \mathbf{x}_0, \boldsymbol{\epsilon}}\left[\left\|\boldsymbol{\epsilon}-\boldsymbol{\epsilon}_\theta\left(\sqrt{\bar{\alpha}_t} \mathbf{x}_0+\sqrt{1-\bar{\alpha}_t} \boldsymbol{\epsilon}, t\right)\right\|^2\right]\]
이를 더 간단하게(\(x_t\) 치환) 표현하면 다음과 같다. \[L_{\text {simple }}=E_{t, x_0, \epsilon}\left[\left\|\epsilon-\epsilon_\theta\left(x_t, t\right)\right\|^2\right]\]
최종적으로 가우시안 모델의 평균을 예측하기 위해 스텝 사이의 노이즈를 예측하는 모델을 만들게 된다.
매 스텝마다 가우시안 노이즈를 하나 샘플링하고, 이미지에 타임 스텝 t에 맞게 노이즈를 더해준다. 네트워크는 어떤 노이즈가 더해졌는지 예측하는 구조로 학습을 진행한다.
Noise Schedule

정해진 noise schedule에 따라 noise를 더해서 \(x_t\) 를 한 번에 만든다.
input: 타임스텝 t, \(x_t\)
output: 어떤 noise가 더해진건지 예측
Network Architecture
네트워크로 U-net 구조를 활용한다.

Experiment
성능 측정 지표로 IS, FID score를 사용한다. FID score는 낮을수록 높은 성능을 의미한다.
DDPM의 FID score는 3.17로서 Unconditional 생성모형 중 가장 높은 sample quality를 보인다.
참고
https://hyoseok-personality.tistory.com/entry/Concept-Diffusion-Models-with-DDPM-DDIM https://learnopencv.com/denoising-diffusion-probabilistic-models/ https://www.youtube.com/watch?v=_JQSMhqXw-4 https://www.youtube.com/watch?v=uFoGaIVHfoE&t=517s